1月21日中棉集团商品棉竞买交易预告
2026年01月20日 19:00
分享到
微信扫码打开
分享好友或朋友圈
分享好友或朋友圈
根据《关于发布2025年中棉集团商品棉竞买交易专场相关事项的通知》规定,现将1月21日商品棉竞买部分交易信息预告如下:
一、竞买起拍价
1月21日竞买交易为一口价竞价模式,2025年度标准级商品棉竞买起拍价15200元/吨。
二、交易时间
1月21日16:00开始交易,16:15开始30秒倒计时,16:30开始15秒倒计时,直至闭市。卖方登录e棉网(www.cottoneasy.com)参与交易。
三、质量要求和升贴水
标准级指标:白棉31级、白棉41级占比≧50%、不含白棉41以下颜色级,平均长度29mm,断裂比强度平均值29,入库含杂率2.8%及以下,主体马克隆值范围4.3-4.9以内,长度整齐度平均值81.5及以上,轧工质量P2及以上。
不可交割指标范围和产地区域:平均长度含<28mm,断裂比强度平均值含<28,入库含杂率>3.5%及以上,平均马克隆值级含C1、B1,长度整齐度平均值81.5以下,轧工质量含P3,产地区域:哈密、吐鲁番地区。除此以外,其他指标棉花按《2025年中棉集团商品棉竞买专场质量和产地升贴水表》(附件1)计算最终成交价。
最终成交价=竞价成交价格+质量升贴水+产地升贴水
四、交货仓库、仓储费用及出疆棉运输补贴
交货仓库为全国棉花交易市场指定交割(监管)仓库(附件2)。
卖方承担入库费、出库费及货权变更前的仓储费用。出疆棉运输补贴由买方领取。
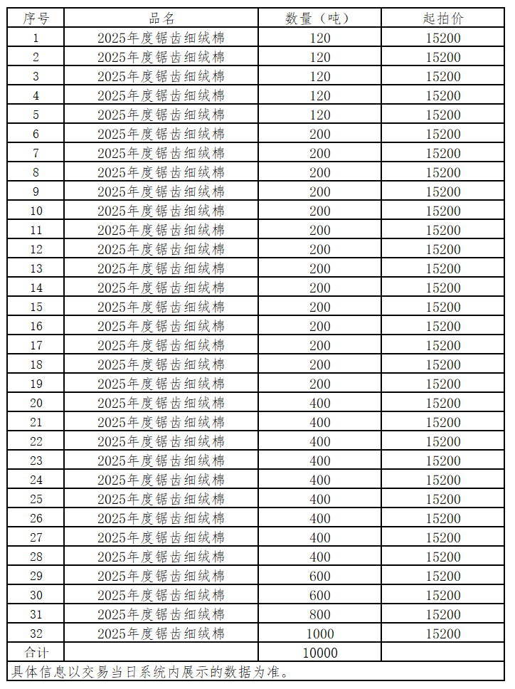
五、竞买明细

六、联系方式

附件:
1.2025年中棉集团商品棉竞买专场质量和产地升贴水表
2.2025年中棉集团商品棉竞买专场交割仓库名单
全国棉花交易市场 中华棉花集团有限公司
2026年1月20日

